一元二次方程怎么解
曲谱自学网今天精心准备的是《一元二次方程怎么解》,下面是详解!
在一元二次方程中,当求根公式等于0时(b²-4ac...
在一元二次方程中,当求根公式等于0时(b²-4ac=0),方程应该怎么解举个例子:x²+2x+1=0过程详细一点...
在一元二次方程中,当求根公式等于0时(b²-4ac=0),方程应该怎么解举个例子:x²+2x+1=0 过程详细一点
b²-4ac=0时代表方程有两个相等的实数根。
上述结论反过来也成立。
扩展资料:
求根公式:
用求根公式法解一元二次方程的一般步骤为:
(注:此处△读“德尔塔”)的前提下,把
的值代入公式
进行计算,求出方程的根 。
注意:一元二次方程的求根公式在方程的系数为有理数、实数、复数或是任意数域中适用。一元二次方程中的判别式:
,应该理解为“如果存在的话,两个自乘后为的数当中任何一个”。在某些数域中,有些数值没有平方根。
一元二次方程成立必须同时满足三个条件:
①是整式方程,即等号两边都是整式,方程中如果有分母;且未知数在分母上,那么这个方程就是分式方程,不是一元二次方程,方程中如果有根号,且未知数在根号内,那么这个方程也不是一元二次方程(是无理方程)。
②只含有一个未知数;
③未知数项的最高次数是2。
参考资料:百度百科---一元二次方程
一元二次方程怎么解?要通用的
求解方法
开平方法
(1)形如 或 的一元二次方程可采用直接开平方法解一元二次方程 [5] [6] 。
(2)如果方程化成 的形式,那么可得 。
(3)如果方程能化成 的形式,那么 ,进而得出方程的根。
(4)注意:
①等号左边是一个数的平方的形式而等号右边是一个常数。
②降次的实质是由一个一元二次方程转化为两个一元一次方程。
③方法是根据平方根的意义开平方。
配方法
将一元二次方程配成 的形式,再利用直接开平方法求解的方法[6] [5] 。
图1配方法解一元二次方程实例
(1)用配方法解一元二次方程的步骤:
①把原方程化为一般形式;
②方程两边同除以二次项系数,使二次项系数为1,并把常数项移到方程右边;
③方程两边同时加上一次项系数一半的平方;
④把左边配成一个完全平方式,右边化为一个常数;
⑤进一步通过直接开平方法求出方程的解,如果右边是非负数,则方程有两个实根;如果右边是一个负数,则方程有一对共轭虚根。
(2)配方法的理论依据是完全平方公式
(3)配方法的关键是:先将一元二次方程的二次项系数化为1,然后在方程两边同时加上一次项系数一半的平方。
求根公式
(1)用求根公式法解一元二次方程的一般步骤为:
图 求根公式推导
①把方程化成一般形式 ,确定 的值(注意符号);
②求出判别式 的值,判断根的情况;
③在 (注:此处△读“德尔塔”)的前提下,把 的值代入公式 进行计算,求出方程的根[5] [6] 。
(2)推导过程
一元二次方程的推导如右图2。
注意:一元二次方程的求根公式在方程的系数为有理数、实数、复数或是任意数域中适用。一元二次方程中的判别式: ,应该理解为“如果存在的话,两个自乘后为的数当中任何一个”。在某些数域中,有些数值没有平方根。
因式分解
因式分解法即利用因式分解求出方程的解的方法[5] [5] 。
图3因式分解法举例
因式分解法解一元二次方程的一般步骤如下:
①移项,使方程的右边化为零;
②将方程的左边转化为两个一元一次方程的乘积;
③令每个因式分别为零
④括号中 ,它们的解就都是原方程的解。
图像解法
(1)一元二次方程 的根的几何意义是二次函数 的图像(为一条抛物线)与 轴交点的 坐标。
图4图像法解方程
当 时,则该函数与 轴相交(有两个交点);
当 时,则该函数与 轴相切(有且仅有一个交点);
当 时,则该函数与轴 相离(没有交点)。
(2)另外一种解法是把一元二次方程 化为: 的形式。则方程的根,就是函数 和 交点的 坐标。通过作图,可以得到一元二次方程根的近似值[5] 。
计算机法
在使用计算机解一元二次方程时,和人手工计算类似,大部分情况下也是根据求根公式来求解,即:
可以进行符号运算的程序,如软件Mathematica,可以给出根的解析表达式,而大部分程序则只会给出数值解(但亦有部分显示平方根及虚数的情况)[1] 。
一元二次方程万能公式多少
一元二次方程ax^2+bx+c=0的万能公式x=(-b±√(b^2-4ac))/2a。
解:对于一元二次方程ax^2+bx+c=0(a≠0),可以进行化简得,
x^2+b/a*x+c/a=0
x^2+2*b/2a*x+(b/a)^2-(b/2a)^2+c/a=0
(x+b/2a)^2=(b/2a)^2-c/a
即(x+b/2a)^2=(b^2-4ac)/a^2
那么可解得x+b/2a=√(b^2-4ac))/2a,或者x+b/2a=-√(b^2-4ac))/2a。
那么x=(-b+√(b^2-4ac))/2a,或者x=(-b-√(b^2-4ac))/2a。
所以一元二次方程的万能解公式为x=(-b±√(b^2-4ac))/2a。
扩展资料:
二次函数性质
对于二次函数y=ax^2+bx+c(其中a≠0)。有如下性质。
1、二次函数的图像是抛物线。开口向上或者向下的抛物线才是二次函数。抛物线是轴对称图形。对称轴为直线x=-b/(2a)。
2、二次项系数a决定抛物线的开口方向和大小。当a>0时,抛物线开口向上;当a<0时,抛物线开口向下。|a|越大,则抛物线的开口越小;|a|越小,则抛物线的开口越大。
3、抛物线与x轴交点个数
(1)当△=b^2-4ac>0时,抛物线与x轴有2个交点。
(2)当△=b^2-4ac=1时,抛物线与x轴有1个交点。
(3) 当△=b^2-4ac<0时,抛物线与x轴没有交点。
参考资料来源:百度百科-一元二次方程
解一元二次方程的方法有几种
有三种方法:
一、配方法
二、因式分解法
三、公式法
举例如下:
x²-4x+3=0
方法一:
(x-2)²-4+3=0
(x-2)²-1=0
(x-2)²=1
x-2=±1
x1=3
x2=1
方法二:
(x-1)(x-3)=0
x1=1
x2=3
方法三:
x=[4±√(-4)²-4×3]/2
x=(4±2)/2
x1=3
x2=1
一元二次方程一般有几个解
一元二次方程一般有2个解。
只含有一个未知数(一元),并且未知数项的最高次数是2(二次)的整式方程叫做一元二次方程。一元二次方程经过整理都可化成一般形式ax²+bx+c=0(a≠0)。其中ax²叫作二次项,a是二次项系数;bx叫作一次项,b是一次项系数;c叫作常数项。
一元二次方程有且仅有两个根(重根按重数计算)。
扩展资料:
一元二次方程解法:
一、直接开平方法
形如(x+a)^2=b,当b大于或等于0时,x+a=正负根号b,x=-a加减根号b;当b小于0时。方程无实数根。
二、配方法
1.二次项系数化为1
2.移项,左边为二次项和一次项,右边为常数项。
3.配方,两边都加上一次项系数一半的平方,化成(x=a)^2=b的形式。
4.利用直接开平方法求出方程的解。
三、公式法
现将方程整理成:ax^2+bx+c=0的一般形式。再将abc代入公式x=(-b±√(b^2-4ac))/2a,(b^2-4ac大于或等于0)即可。
四、因式分解法
如果一元二次方程ax^2+bx+c=0中等号左边的代数式容易分解,那么优先选用因式分解法。
C语言,求一元二次方程的解
对于如下的一元二次方程:
ax*x+bx+c=0
设计C语言程序,输入一元二次方程的三个系数a、b、c,求解出该方程的两个根,并且允许用户在程序中多次输入不同的系数,以求解不同的一元二次方程的解。
编程思路分析:
对于该方程,令delta=b^2-4*a*c,从数学的角度来讲,我们需要根据delta的值来判断该方程的根情况:
当delta>=0时,其两个根为实数解,分别为(-b+sqrt(delta))/(2*a)和(-b-sqrt(delta))/(2*a);
当delta<0时,其两个根为复数解,实部皆为-b/(2*a),虚部分别为sqrt(-delta)/(2*a)和-sqrt(-delta)/(2*a)。
其中,sqrt(delta)代表对delta作开根号运算。
在代码设计中,可定义一个结构体Complex存储该方程的根,在该结构体中包括实部和虚部两个变
在程序中,定义两个Complex类型的根x1和x2,当delta>=0时,两个根的虚部为0,否则,分别求解两个根的虚部值。
具体编程如下:
#include "stdio.h"
#include "math.h"
/*求一元二次方程ax*x+bx+c=0的解*/
main()
{float a,b,c,x1,x2,d;
printf("请输入a:");
scanf("%f",&a);
printf("请输入b:");
scanf("%f",&b);
printf("请输入c:");
scanf("%f",&c);
d=b*b-4*a*c;if(d < 0)
printf("方程没有实数解。\n");
if (d==0){x1=(-b)/(2*a);
printf("x1=%f\n",x1);}
if (d>0){x1=(-b+sqrt(d))/(2*a);
x2=(-b-sqrt(d))/(2*a);
printf("x1=%f,x2=%f\n",x1,x2);} }
请输入a:12
请输入b:34
请输入c:4
x1=-0.122985,x2=-2.710348
Press any key to continue
扩展资料:
一元二次方程还可以用迭代法的思想设计程序:
例 :一个饲养场引进一只刚出生的新品种兔子,这种兔子从出生的下一个月开始,每月新生一只兔子,新生的兔子也如此繁殖。如果所有的兔子都不死去,问到第 12 个月时,该饲养场共有兔子多少只?
分析:这是一个典型的递推问题。我们不妨假设第 1 个月时兔子的只数为 u 1 ,第 2 个月时兔子的只数为 u 2 ,第 3 个月时兔子的只数为 u 3 ,……根据题意,“这种兔子从出生的下一个月开始,每月新生一只兔子”,则有
u 1 = 1 , u 2 = u 1 + u 1 × 1 = 2 , u 3 = u 2 + u 2 × 1 = 4 ,……
根据这个规律,可以归纳出下面的递推公式:u n = u(n - 1)× 2 (n ≥ 2),对应 u n 和 u(n - 1),定义两个迭代变量 y 和 x ,可将上面的递推公式转换成如下迭代关系:
y=x*2,x=y
让计算机对这个迭代关系重复执行 11 次,就可以算出第 12 个月时的兔子数。参考程序如下:
cls x=1 for i=2 to 12
y=x*2 x=y
next i print y
end
迭代法是一类利用递推公式或循环算法通过构造序列来求问题近似解的方法。例如,对非线性方程
,利用递推关系式
,从
开始依次计算
,来逼近方程的根
的方法,
若
仅与
有关,即
,则称此迭代法为单步迭代法,一般称为多步迭代法;对于线性方程组
,由关系
从
开始依次计算
来过近方程
的解的方法。
若对某一正整数
,当
时,
与 k 无关,称该迭代法为定常迭代法,否则称之为非定常迭代法。称所构造的序列
为迭代序列。
参考资料:迭代法_百度百科
配方法解一元二次方程的一般步骤是什么?
用配方法解一元二次方程的步骤:
①把原方程化为一般形式;
②方程两边同除以二次项系数,使二次项系数为1,并把常数项移到方程右边;
③方程两边同时加上一次项系数一半的平方;
④把左边配成一个完全平方式,右边化为一个常数;
⑤进一步通过直接开平方法求出方程的解,如果右边是非负数,则方程有两个实根;如果右边是一个负数,则方程有一对共轭虚根。
扩展资料:
配方法的其他运用:求最值。示例说明如下:
已知实数x,y满足x²+3x+y-3=0,则x+y的最大值为____。
分析:将y用含x的式子来表示,再代入(x+y)求值。
解:x²+3x+y-3=0<=>y=3-3x-x²。
代入(x+y)得x+y=3-2x-x²=-(x²+2x-3)=-[(x+1)²-4]=4-(x+1)²。
由于(x+1)²≥0,故4-(x+1)²≤4.故推测(x+y)的最大值为4,此时x,y有解,故(x+y)的最大值为4。
参考资料:百度百科-一元二次方程
一元二次方程 当只有一个实数根是什么情况
一元二次方程 当只有一个实数根是:b²-4ac等于零。
一元二次方程ax^2+bx+c=0(a不等于0),Δ=b²-4ac。
(1)Δ<0时,方程无实数解。
(2)Δ>0时,方程有两个实数解。
(3)Δ=0时,方程有一个解。
只含有一个未知数(一元),并且未知数项的最高次数是2(二次)的整式方程叫一元二次方程 。
一元二次方程经过整理都可化成一般形式ax²+bx+c=0(a≠0)。其中ax²叫作二次项,a是二次项系数;bx叫作一次项,b是一次项系数;c叫作常数项。
扩展资料:
一元二次方程的解(根)的意义:能使一元二次方程左右两边相等的未知数的值称为一元二次方程的解。一般情况下,一元二次方程的解也称为一元二次方程的根(只含有一个未知数的方程的解也叫做这个方程的根) 。
(2)由代数基本定理,一元二次方程有且仅有两个根(重根按重数计算),根的情况由判别式(Δ=b²-4ac)决定。
参考资料:百度百科-一元二次方程
一元二次方程的两个根是怎么解出来的?
一元二次方程的两个根可以通过因式分解法和十字相乘法解出。
1、因式分解法:又分“提公因式法”;而“公式法”(又分“平方差公式”和“完全平方公式”两种),另外还有“十字相乘法”,因式分解法是通过将方程左边因式分解所得,因式分解的内容在八年级上学期学完。
用因式分解法解一元二次方程的步骤:
(1)将方程右边化为0;
(2)将方程左边分解为两个一次式的积;
(3)令这两个一次式分别为0,得到两个一元一次方程;
(4)解这两个一元一次方程,它们的解就是原方程的解。
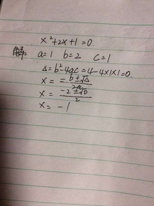
举例如:解方程:x²+2x+1=0
解:利用完全平方公式因式解得:(x+1)²=0
解得:x=-1
2、十字相乘法:x的平方+(p+q)x+pq=(x+p)(x+q)
例:ab+b²+a-b- 2
=ab+a+b²-b-2
=a(b+1)+(b-2)(b+1)
=(b+1)(a+b-2)
求根公式:首先要通过Δ=b²-4ac的根的判别式来判断一元二次方程有几个根:
(1)当Δ=b²-4ac<0时 x无实数根(初中)。
(2)当Δ=b²-4ac=0时 x有两个相同的实数根 即x1=x2。
(3)当Δ=b²-4ac>0时 x有两个不相同的实数根。
当判断完成后,若方程有根可根属于2、3两种情况方程有根则可根据公式:x={-b±√(b²-4ac)}/2a来求得方程的根。
扩展资料:
一元二次方程根的判别式。
1、一元二次方程ax²+bx+c=0(a≠0)的根的判别式定理:
在一元二次方程ax²+bx+c=0(a≠0)中,Δ=b²4ac
若△>0则方程有两个不相等的实数根。
若△=0则方程有两个相等的实数根。
若△<0则方程没有实数根。
2、这个定理的逆命题也成立,即有如下的逆定理:
在一元二次方程ax²+bx+c=0(a≠0)中,Δ=b²4ac。
若方程有两个不相等的实数根,则△>0。
若方程有两个相等的实数根,则△=0。
若方程没有实数根,则△<0。
3、如果二次项系数中含有字母,要考虑二次项系数不为零这个限制条件。
怎么解一元二次方程组
首先当a不等于0时方程:ax^2+bx+c=0才是一元二次方程。
1、公式法:Δ=b²-4ac,Δ<0时方程无解,Δ≥0时。
x=【-b±根号下(b²-4ac)】÷2a(Δ=0时x只有一个)
2、配方法:可将方程化为[x-(-b/2a)]²=(b²-4ac)/4a²
可解出:x=【-b±根号下(b²-4ac)】÷2a(公式法就是由此得出的)
3、直接开平方法与配方法相似。
4、因式分解法:核心当然是因式分解了看一下这个方程。
(Ax+C)(Bx+D)=0,展开得ABx²+(AD+BC)+CD=0与一元二次方程ax^2+bx+c=0对比得a=AB,b=AD+BC,c=CD。所谓因式分解也只不过是找到A,B,C,D这四个数而已。
扩展资料:
一元二次方程成立必须同时满足三个条件:
①是整式方程,即等号两边都是整式,方程中如果有分母;且未知数在分母上,那么这个方程就是分式方程,不是一元二次方程,方程中如果有根号,且未知数在根号内,那么这个方程也不是一元二次方程(是无理方程)。
②只含有一个未知数;
③未知数项的最高次数是2。
开平方法:
(1)形如
或
的一元二次方程可采用直接开平方法解一元二次方程 [5] 。
(4)注意:
①等号左边是一个数的平方的形式而等号右边是一个常数。
②降次的实质是由一个一元二次方程转化为两个一元一次方程。
③方法是根据平方根的意义开平方。
参考资料来源:百度百科——一元二次方程
一元二次方程怎么解

只含有一个未知数(一元),并且未知数项的最高次数是2(二次)的整式方程叫做一元二次方程 。一元二次方程经过整理都可化成一般形式ax2+bx+c=0(a≠0)。其中ax2叫作二次项,a是二次项系数;bx叫作一次项,b是一次项系数;c叫作常数项 。
热门曲谱
刘德华喊话四大天王合体做节目:他们愿意我 彭于晏带违规水果过海关被罚 据台湾媒体报道,彭于晏7月1日返回台北在松山机场过海关的时候,因为不小心带了水果,被海关查获并罚款3000元台币 。有台湾媒体询问机场工作人...[详情]分类:知识库时间:12:37
led和节能灯哪个好 概括:这道题是贲友颗同学的课后练习题,主要是关于led和节能灯哪个好,指导老师为黎老师。LED节能灯是继紧凑型荧光灯(即普通节能灯...
[详情]分类:知识库时间:14:47
个人所得税税率 概括:这道题是蒲值暇同学的课后练习题,主要是关于个人所得税税率,指导老师为阚老师。
题目:个人所得税税率
解:<...[详情]分类:知识库时间:14:51
个税计算方法 概括:这道题是文缘卣同学的课后练习题,主要是关于个税计算方法,指导老师为惠老师。负所得税制度的意义财税部门出台了给予弱势群...
[详情]分类:知识库时间:14:51
李光洁宣布结婚 彭于晏带违规水果过海关被罚 据台湾媒体报道,彭于晏7月1日返回台北在松山机场过海关的时候,因为不小心带了水果,被海关查获并罚款3000元台币 。有台湾媒体询问机场工作人...[详情]分类:知识库时间:12:37
什么可以美白牙齿 概括:这道题是贡泼俊同学的课后练习题,主要是关于什么可以美白牙齿,指导老师为井老师。冷光美白牙齿顾名思义就是用冷光来美白牙...
[详情]分类:知识库时间:14:58
什么是连带责任 概括:这道题是满澄檬同学的课后政治练习题,主要是关于什么是连带责任,指导老师为宦老师。
题目:什么是连带责任
...[详情]分类:知识库时间:14:58
趣头条与江苏卫视达成战略合作 彭于晏带违规水果过海关被罚 据台湾媒体报道,彭于晏7月1日返回台北在松山机场过海关的时候,因为不小心带了水果,被海关查获并罚款3000元台币 。有台湾媒体询问机场工作人...[详情]分类:知识库时间:12:37
利率怎么算 概括:这道题是从纲凑同学的课后练习题,主要是关于利率怎么算,指导老师为殳老师。银行利率表示一定时期内利息量与本金的比率,通...
[详情]分类:知识库时间:14:58
名贵树种 概括:这道题是山翁灿同学的课后练习题,主要是关于名贵树种,指导老师为谈老师。
题目:名贵树种
解: ...[详情]分类:知识库时间:14:56
埃利斯 概括:这道题是苏似涡同学的课后政治练习题,主要是关于埃利斯,指导老师为裴老师。
题目:埃利斯
解: ...[详情]分类:知识库时间:14:54
差异 概括:这道题是巫唐抖同学的课后练习题,主要是关于差异,指导老师为左老师。暂时性差异是由税收法规与会计准则确认时间或计税基础...
[详情]分类:知识库时间:14:53
平衡梁 概括:这道题是浦晓淖同学的课后练习题,主要是关于平衡梁,指导老师为赵老师。平衡梁为吊装机具的重要组成部分,可用于保持被吊设...
[详情]分类:知识库时间:14:54
建筑图集 概括:这道题是蓟侠位同学的课后政治练习题,主要是关于建筑图集,指导老师为焦老师。《新疆传统建筑图集》是2009年新疆科学技术出...
[详情]分类:知识库时间:14:54
成分分析 概括:这道题是颜仑徽同学的课后练习题,主要是关于成分分析,指导老师为戈老师。
题目:成分分析
解: ...[详情]分类:知识库时间:14:56
无坚不摧之力 概括:这道题是路婆掖同学的课后政治练习题,主要是关于无坚不摧之力,指导老师为祁老师。
题目:无坚不摧之力
解:<...[详情]分类:知识库时间:14:54
气垫船原理 概括:这道题是席洞朴同学的课后练习题,主要是关于气垫船原理,指导老师为毛老师。通风工程是送风、排风、除尘、气力输送以及防、...
[详情]分类:知识库时间:14:54
海狸 概括:这道题是项筛卦同学的课后练习题,主要是关于海狸,指导老师为钱老师。
题目:海狸
解: ...[详情]分类:知识库时间:14:56
38译码器 知识点:《38译码器》 收集:瞿收霉 编辑:桂花
[详情]分类:知识库时间:10:57
本知识点包括:1、38译码器在单片机系统中的作用是什么? 2、求vh...
aidma 知识点:《aidma》 收集:蒯超峦 编辑:栀子花女孩
[详情]分类:知识库时间:12:08
本知识点包括:1、SOV/SOM是什么?AIDMA和AIDAS理论代表什么...



















