牧马城市简谱-曲谱-歌词
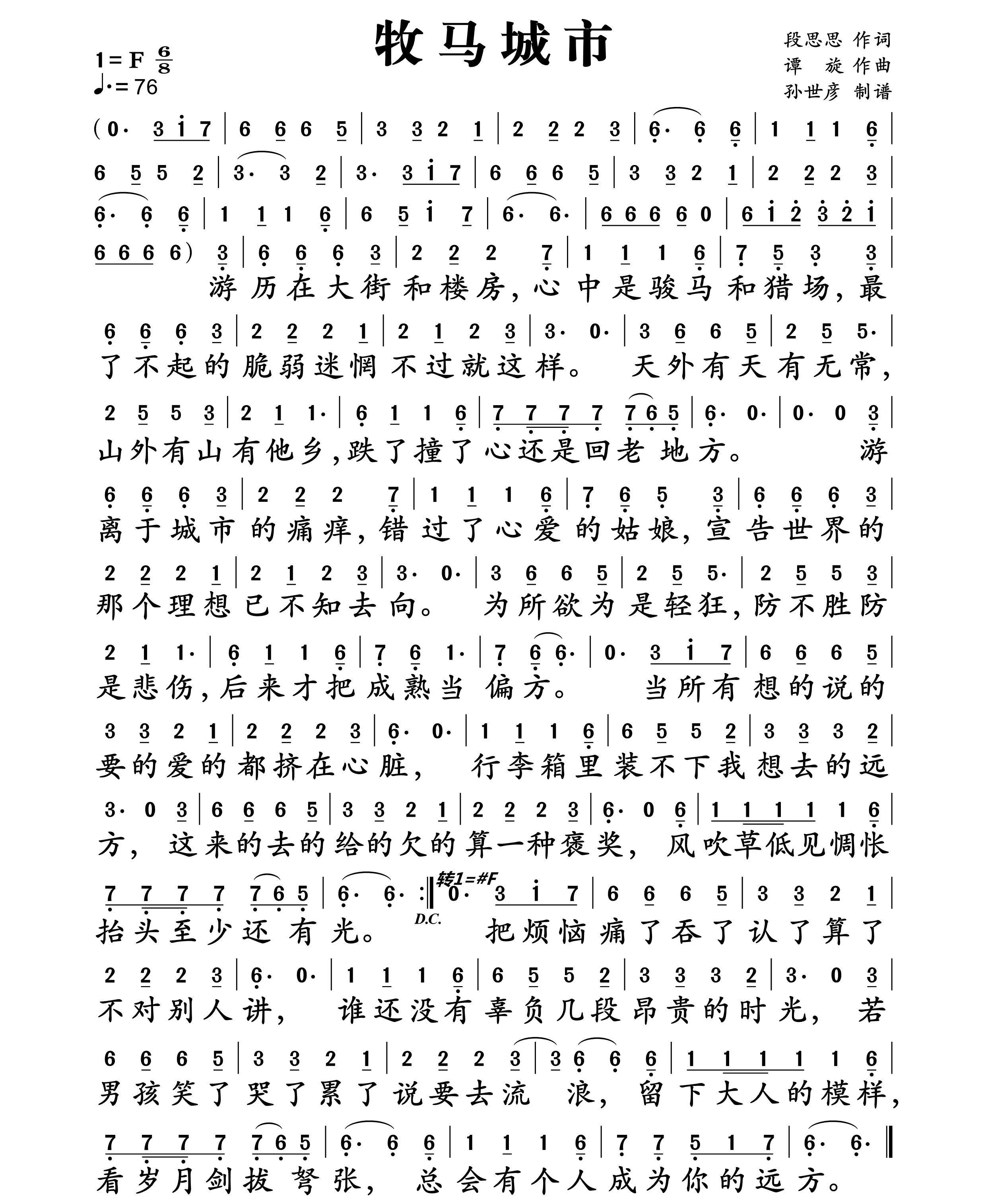
牧马城市
《牧马城市》文本歌词
毛不易 牧马城市
牧马城市
(电视剧《老男孩》片尾曲)
作词:段思思
作曲:谭旋
编曲:蔡科俊
制谱:孙世彦
演唱:毛不易
游历在大街和楼房,
心中是骏马和猎场,
最了不起的脆弱迷惘
不过就这样。
天外有天有无常,
山外有山有他乡,
跌了撞了心还是回老地方。
游离于城市的痛痒,
错过了心爱的姑娘,
宣告世界的那个理想
已不知去向。
为所欲为是轻狂,
防不胜防是悲伤,
后来才把成熟当偏方。
当所有想的说的要的爱的
都挤在心脏,
行李箱里装不下我想去的远方,
这来的去的给的欠的算一种褒奖,
风吹草低见惆怅抬头至少还有光。
游历在大街和楼房,
心中是骏马和猎场,
最了不起的脆弱迷惘
不过就这样。
天外有天有无常,
山外有山有他乡,
跌了撞了心还是回老地方。
游离于城市的痛痒,
错过了心爱的姑娘,
宣告世界的那个理想
已不知去向。
为所欲为是轻狂,
防不胜防是悲伤,
后来才把成熟当偏方。
当所有想的说的要的爱的
都挤在心脏,
行李箱里装不下我想去的远方,
这来的去的给的欠的算一种褒奖,
风吹草低见惆怅
抬头至少还有光。
把烦恼痛了吞了认了算了
不对别人讲,
谁还没有辜负几段昂贵的时光,
若男孩笑了哭了累了
说要去流浪,
留下大人的模样,
看岁月剑拔弩张,
总会有个人成为你的远方。

热门曲谱
惊鸿舞简谱-曲谱-歌词 曲谱自学网今天精心准备的是《惊鸿舞曲谱》,下面是详解! 惊鸿舞 惊鸿舞 (《甄嬛传》电视剧插曲) - 姚贝娜 (Bella Yao) 词:曹植(魏) 曲:刘欢 编曲:孟可 翩若惊鸿 婉若...[详情]分类:简谱大全时间:14:51
假如爱有天意简谱-曲谱-歌词 曲谱自学网今天精心准备的是《假如爱有天意曲谱》,下面是详解! 假如爱有天意 《假如爱有天意》文本歌词 假如爱有天意李健 当天边那颗星出现 你可知我又开始想念 有多少爱...[详情]分类:简谱大全时间:14:26
野百合也有春天简谱-曲谱-歌词 曲谱自学网今天精心准备的是《野百合也有春天曲谱》,下面是详解! 野百合也有春天 《野百合也有春天》文本歌词 野百合也有春天 演唱:孟庭苇 仿佛如同一场梦 我们如此短暂...[详情]分类:简谱大全时间:14:17
梦开始的地方简谱-曲谱-歌词 曲谱自学网今天精心准备的是《梦开始的地方曲谱》,下面是详解! 梦开始的地方 梦开始的地方 - 童安格 (Angus Tung) 词:童安格/苏来 曲:童安格 浩瀚夜空遥远的角落 挂着...[详情]分类:简谱大全时间:14:30
采莲曲简谱-曲谱-歌词 曲谱自学网今天精心准备的是《采莲曲曲谱》,下面是详解! 采莲曲 采莲曲 - 蔡幸娟 词:李白 曲:黄石 若耶溪傍采莲女 笑隔荷花共人语 日照新妆水底明 飞飘香袂空中举 岸上...[详情]分类:简谱大全时间:17:04
哭砂简谱-曲谱-歌词 曲谱自学网今天精心准备的是《哭砂曲谱》,下面是详解! 哭砂 哭砂 - 黄莺莺 词:林秋离 曲:熊美玲 你是我最苦涩的等待 让我欢喜又害怕未来 你最爱说你是一颗尘埃 偶尔会...[详情]分类:简谱大全时间:15:51
南泥湾简谱-曲谱-歌词 曲谱自学网今天精心准备的是《南泥湾曲谱》,下面是详解! 南泥湾 花篮的花儿香 听我来唱一唱 唱一呀唱 来到了南泥湾 南泥湾好地方 好地呀方 好地方来好风光 好地方来好风...[详情]分类:简谱大全时间:16:03
最真的梦简谱-曲谱-歌词 曲谱自学网今天精心准备的是《最真的梦曲谱》,下面是详解! 最真的梦 编曲 : 罗大佑 / 洪艾伦 今夜微风轻送 把我的心吹动 多少尘封的往日情 重回到我心中 往事随风飘送 把...[详情]分类:简谱大全时间:14:21
月半小夜曲简谱-曲谱-歌词 曲谱自学网今天精心准备的是《月半小夜曲曲谱》,下面是详解! 月半小夜曲 《月半小夜曲》文本歌词 月半小夜曲 作词:向雪怀 作曲:河合奈保子 演唱:李克勤 仍然倚在失眠...[详情]分类:简谱大全时间:17:56
我的歌声里简谱-曲谱-歌词 曲谱自学网今天精心准备的是《我的歌声里曲谱》,下面是详解! 我的歌声里 没有一点点防备 也没有一丝顾虑 你就这样出现在我的世界里 带给我惊喜 情不自已 可是你偏又这样 ...[详情]分类:简谱大全时间:17:14
红颜劫简谱-曲谱-歌词 曲谱自学网今天精心准备的是《红颜劫曲谱》,下面是详解! 红颜劫 《红颜劫》文本歌词 崔恕词 刘欢曲 姚贝娜演唱 Music 斩断情丝心犹乱, 千头万绪仍纠缠。 1. 拱手让江山...[详情]分类:简谱大全时间:14:36
日月凌空简谱-曲谱-歌词 曲谱自学网今天精心准备的是《日月凌空曲谱》,下面是详解! 日月凌空 当日和月天空上交叠 谁分得清宇宙边界 多少烟火早在岁月中凋谢 千年之后热情化作冰冷的铁 无字的碑 ...[详情]分类:简谱大全时间:15:03
明月几时有简谱-曲谱-歌词 曲谱自学网今天精心准备的是《明月几时有曲谱》,下面是详解! 明月几时有 但愿人长bai久 歌手:邓丽du君 作词:苏轼 明月几时有,把酒zhi问青天 不知dao天上宫阙,今夕是...[详情]分类:简谱大全时间:17:41
人生何处不相逢简谱-曲谱-歌词 曲谱自学网今天精心准备的是《人生何处不相逢曲谱》,下面是详解! 人生何处不相逢 《人生何处不相逢》文本歌词 简宁词 罗大佑曲 陈慧娴粤语演唱 Music 1.2. 随浪随风飘荡...[详情]分类:简谱大全时间:14:11
原来我这么爱你简谱-曲谱-歌词 曲谱自学网今天精心准备的是《原来我这么爱你曲谱》,下面是详解! 原来我这么爱你 《原来我这么爱你》文本歌词 原来我这么爱你 作词 熊红 作曲 姚峰 演唱 姚贝娜 小学课本...[详情]分类:简谱大全时间:14:56
开门见山简谱-曲谱-歌词 曲谱自学网今天精心准备的是《开门见山曲谱》,下面是详解! 开门见山 《开门见山》文本歌词 开门见山 - 张惠妹 词:林夕 曲:阿弟仔 那是个月亮就是个月亮 并不是地上霜 ...[详情]分类:简谱大全时间:15:35
风的季节简谱-曲谱-歌词 曲谱自学网今天精心准备的是《风的季节曲谱》,下面是详解! 风的季节 《风的季节》文本歌词 风的季节 演唱;徐小凤 凉风轻轻吹到悄然进了我衣襟 夏天偷去听不见声音 日子匆...[详情]分类:简谱大全时间:16:58
Jingle Bells简谱-曲谱-歌词 曲谱自学网今天精心准备的是《Jingle Bells曲谱》,下面是详解! Jingle Bells JINGLE BELLS (英语儿歌) - 小蓓蕾组合 Dashing through the snow In a one-horse open slei...[详情]分类:简谱大全时间:17:10
前路简谱-曲谱-歌词 曲谱自学网今天精心准备的是《前路曲谱》,下面是详解! 前路 当上天那样糊涂 当命运那样残酷 当对手那样可恶 当时间那样仓促 当是非如此模糊 当爱恨如此庸俗 当去留如此短...[详情]分类:简谱大全时间:14:59
未闻花名简谱-曲谱-歌词 曲谱自学网今天精心准备的是《未闻花名曲谱》,下面是详解! 未闻花名 《未闻花名》的歌曲为:baisecret base~你给我的所有,具体歌曲信息如下: 歌曲:secret base~你给我...[详情]分类:简谱大全时间:17:47
